COMORBILIDADES ASOCIADAS A LA RESPUESTA TERAPÉUTICA DE LA ENFERMEDAD DE MÉNIÈRE EN EL HOSPITAL “DR. VALENTÍN GÓMEZ FARÍAS” DEL ISSSTE

Autor: Dr. Alejandro Iván Chávez Anaya
Coautores: Dr. Alejandro Perez Cisneros
Dr. Oswaldo Gutierrez Barajas
Dra. Cinthia Ileana Gonzalez Rodriguez
Dra. Karla Liliana Luviano Palmerin
Hospital Regional Valentín Gómez Farías. ISSSTE. Servicio de Otorrinolaringología y Cirugía de Cabeza y Cuello. Zapopan, Jalisco.
Introducción:
La enfermedad de Ménière es multifactorial y se caracteriza clínicamente por vértigo, hipoacusia neurosensorial fluctuante, acúfeno y plenitud ótica. La presencia de comorbilidades dificulta más su diagnóstico y tratamiento.
 
Objetivo:
Determinar que variables y comorbilidades se asocian a una mejor respuesta al tratamiento de la enfermedad de Ménière.
 
Material y Métodos:
se realizó un estudio retrospectivo, descriptivo, donde se incluyeron 7 pacientes con diagnóstico de enfermedad de Ménière, se excluyeron los que no contaran con historia clínica completa, audiometrías iniciales y de seguimiento (menor a 6 meses de antigüedad), o no aceptaran participar en el estudio. Se realizaron medidas de tendencia central.
 
Resultados:
Se estudiaron 7 pacientes, 4 mujeres y 3 hombres, con una edad promedio de 40.4 años al momento del diagnóstico, el tiempo de evolución promedio fue de 9.5 años. El oído derecho fue el afectado en 5 pacientes y el izquierdo en 2 pacientes. Solo 2 pacientes presentaron DM2 y HAS, 2 pacientes padecen hipotiroidismo. La terapia de dexametasona intratimpánica se usó en 5 pacientes. Los tratamientos implementados incluyen la dieta hiposódica, betahistina, acetazolamida, descompresión de saco endolinfático. La hipoacusia fluctuante se presentó en 5 casos.
 
Conclusiones:
La enfermedad de Ménière fue más frecuente en hombres que en mujeres, diagnosticada más frecuentemente después de los 40 años de edad, y más frecuente en el oído derecho. No se encontró relación entre la presencia de comorbilidades y la respuesta al tratamiento.
 
INTRODUCCIÓN
La enfermedad de Ménière (EM) es multifactorial y se caracteriza clínicamente por vértigo, hipoacusia neurosensorial fluctuante, acúfeno y plenitud ótica. 1 A nivel histológico, la EM se asocia con hidrops endolinfático presente en el conducto coclear y los órganos vestibulares. 2 Su prevalencia es aproximadamente 34-190 casos/100.000, presentándose desde la tercera hasta la séptima décadas de la vida, discretamente más en mujeres. Los factores de riesgo conocidos son la edad avanzada, ser de raza blanca y obesidad severa. 3
 
Durante la historia natural de la enfermedad, el síntoma de vértigo es más frecuente en el inicio de la enfermedad, y los demás síntomas de la enfermedad presentan gran variabilidad individual. 4 La hipoacusia suele ser unilateral, pero se han descrito casos de bilateralidad, al igual de presentar comorbilidades como vértigo posicional paroxístico benigno, migraña, enfermedades crónico degenerativas y autoinmunes, lo que complica y retrasa el su diagnóstico y tratamiento. 3,4
 
Para realizar el diagnóstico de la enfermedad se cuenta con 2 entidades, la enfermedad de Menière probable, la cual debe de presentar dos o más episodios de vértigo, con duración entre 20 min y 24 h cada uno, síntomas auditivos fluctuantes, se debe descartar diagnóstico vestibular. 5 La entidad llamada enfermedad de Menière definida también se define como dos o más episodios de vértigo espontáneo con duración entre 20 min y 12 h, hipoacusia neurosensorial de frecuencias bajas y medias en mínimo 2 estudios audiométricos, síntomas auditivos fluctuantes y descartar otro diagnóstico vestibular. 6,7
 
Dentro de los diagnósticos diferenciales que se deben descartar, se encuentran el síndrome de Cogan, sífilis, síndromes de tercera ventana, paroxismo vestibular, eventos vasculares cerebrales, enfermedades autoinmunes, tumores de saco endolinfático y de ángulo pontocerebeloso, schwannomas, migraña vestibular, etc. 4
 
Una vez hecho el diagnóstico, se recomienda iniciar el tratamiento con dieta hiposódica, diuréticos o vasodilatadores, cuando no encontramos una respuesta adecuada a la terapia inicial, se pueden agregar corticoides orales. 8 En casos de difícil control, se cuenta con la ablación vestibular (gentamicina intratimpánica), y la laberitectomía quirúrgica.9
Desde su primera utilización documentada en 1996, los corticoides intratimpánicos, asociándolos con vía intravenosa, han presentado buenos resultados. Se piensa que la aplicación en el órgano diana es más efectiva que la vía general. 10
 
El objetivo de este trabajo es determinar si las comorbilidades en pacientes con enfermedad de Ménière, alteran la respuesta terapéutica los pacientes del Hospital “Dr. Valentín Gómez Farías” del ISSSTE.
 
MATERIAL Y MÉTODOS
El diseño de este estudio es descriptivo, retrospectivo en pacientes con diagnóstico de enfermedad de Ménière, en la consulta externa de otorrinolaringología del Hospital “Dr. Valentín Gómez Farías” del ISSSTE.
 
Los pacientes fueron seleccionados de la consulta externa del 1 de noviembre de 2017 al 31 de mayo de 2018, se les realizó una entrevista dirigida al inicio de su padecimiento, sintomatología, tratamientos recibidos, respuesta al tratamiento, se complementó con una revisión exhaustiva del expediente clínico, incluyendo estudios audiométricos, así como una exploración otoneurológica.
 
Criterios de inclusión: pacientes mayores de 18 años de edad, diagnóstico de enfermedad de Ménière.
Criterios de exclusión: pacientes con diagnóstico de cáncer, tratamiento indicado por facultativo externo a la institución.
Criterios de eliminación: expediente incompleto, mal apego al tratamiento.
Se realizó la captura de las siguientes variables: cédula del paciente, edad actual, sexo, edad al momento del diagnóstico de enfermedad de Ménière, años de evolución, síntoma inicial, duración del vértigo, oído afectado, comorbilidades (diabetes mellitus, hipertensión arterial, depresión, cardiopatías, alteraciones tiroideas, otros), medicamentos sistémicos empleados, aplicaciones de corticoide intratimpánico, tratamiento quirúrgico, audiometrías (iniciales y más reciente), fluctuación de síntomas auditivos.
 
PLANTEAMIENTO DEL PROBLEMA
La enfermedad de Ménière es la tercera causa de vértigo periférico y su máxima incidencia en ambos sexos es entre los 40 y 50 años de edad.
La variabilidad de presentación clínica y las comorbilidades dificultan el diagnóstico y retrasan el tratamiento.
Pregunta de investigación
¿Las comorbilidades en pacientes con enfermedad de Ménière, afectan la respuesta al tratamiento?
 
JUSTIFICACIÓN
La enfermedad de Ménière es la tercera causa más común de vértigo periférico, con gran impacto en la población ya que genera incapacidades laborales, alteraciones psicológicas, pudiendo ser permanentes.
Un diagnóstico y tratamiento oportunos, ayudan a estos pacientes a tener una mejor calidad de vida, permitiéndoles seguir siendo parte de la población económicamente activa.
 
ANÁLISIS ESTADÍSTICO
Se utilizaron medidas de tendencia central para la mejor compresión de los datos, que se expresaron con gráficas y tablas.
La información fue analizada con pruebas no paramétricas, expresadas como números, proporciones (%) y medianas.
Para la descripción de variables continuas se determinó la distribución de normalidad a través de pruebas estadísticas. (tabla 1)
  
RESULTADOS
Se incluyeron 13 pacientes, se excluyeron 3 pacientes (2 por diagnóstico de cáncer, 1 por tratamiento indicado por médico externo a la institución), se eliminaron 3 pacientes (por expediente incompleto).
1 2
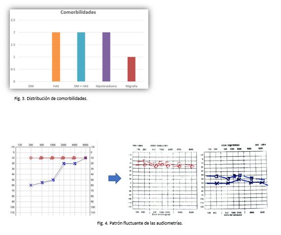
La edad media de los pacientes fue de 48.5 años, 3 son mujeres y 4 son hombres (Fig. 1), la edad media al momento del diagnóstico fue de 40.4 años, años de evolución media 9.5 años, el síntoma inicial en 5 pacientes incluía la triada de vértigo, acúfeno e hipoacusia, 1 paciente debutó con acufeno y 1 con neuritis vestibular, la periodicidad de las crisis de vértigo van de 30 minutos a 12 horas, con una media de 4.7 horas, el oído derecho se encontró afectado en 5 pacientes y el izquierdo en 2 pacientes (Fig. 2), en el rubro del tratamiento, 2 pacientes se controlan con dieta hiposódica, 1 paciente con acetazolamida, 1 paciente con clortalidona, 1 paciente con betahistina, 3 pacientes con más de 1 medicamento, 5 pacientes han recibido terapia con corticoide intratimpánico con una media de número de aplicaciones de 4.2, siendo la mínima 1 ocasión y la máxima 15 veces (5 años de evolución), el cual requirió  tratamiento quirúrgico mediante descompresión de saco endolinfático con mejoría sintomática importante, 0 pacientes padecen diabetes mellitus, 2 hipertensión arterial sistémica, y 2 pacientes presentan diabetes mellitus e  hipertensión arterial sistémica  concomitantes, 2 presentan hipotiroidismo, y 1 paciente presenta migraña (Fig. 3), los estudios audiométricos iniciales y actuales, en los 7 paciente se presentó hipoacusia neurosensorial progresiva, con patrón fluctuante corroborado en 5 pacientes (Fig. 4).
   3
 
Discusión
Bruce y Conrad Proctor (1981) relacionaron la presencia crónica de niveles elevados de metabolitos séricos (glucosa, insulina, triglicéridos, colesterol), con daño en la microvasculatura, incluida la del oído interno, sugiriéndolo como posible causa del hidrops endolinfático. Estudiaron 50 casos de enfermedad de Ménière, encontrando estas alteraciones metabólicas en el 76%, predominando la alteración en los niveles de insulina.
 
Spencer (1981) también hizo la relación de la enfermedad de Ménière con pacientes propensos a la dislipidemia, obesidad, diabetes mellitus, coronariopatía, probablemente condicionados por hiperinsulinemia.
 
Warninghoff (2009) realizó una cohorte de pacientes con vértigo (VPPB, Ménière, migraña vestibular, vértigo fóbico), buscando alguna relación con comorbilidades como hipertensión arterial sistémica, diabetes, migraña, depresión, solo encontrando mayor prevalencia de HAS en Ménière y alteraciones psiquiátricas en vértigo fóbico.
Pieskä (2018) revisó 350 casos de enfermedad de Ménière, encontrando mayor prevalencia de migraña, hipotiroidismo, alergias, coronariopatía, enfermedades autoinmunes, en comparación con la población general. La diabetes se asoció con hipoacusias más severas y vértigo más frecuente.
El número de comorbilidades se asoció con vértigo más frecuente.
Nuestros pacientes presentaron diabetes, hipertensión, hipotiroidismo, sin presentar depresión o alteraciones coronarias.
En este estudio 2 pacientes presentaron HAS y DM concomitantes, con una evolución clínica muy distinta, ya que en un caso el control de la enfermedad se alcanzaba con medidas dietéticas, y el otro caso fue de difícil control, requiriendo 15 aplicaciones intratimpánicas de corticoide, y alcanzo control del vértigo solo después de una descompresión quirúrgica del saco endolinfático.
 
Los pacientes con hipotiroidismo lograron un control del vértigo cuando regularizaron su nivel de hormonas tiroideas.
 4
 
 
CONCLUSIÓN
En este estudio, la presencia de comorbilidades, no demostró ser factor pronóstico para la respuesta terapéutica en pacientes con enfermedad de Ménière.
Se requieren más estudios, con un mayor número de pacientes para establecer los efectos de comorbilidades en el pronóstico de la enfermedad de Ménière.
BIBLIOGRAFÍA
  • Rauch SD. Menière’s syndrome and endolymphatic hydrops: Double-blind temporal bone study. Ann Otol Rhinol Laryngol. 1989
  • Bisdorff A. Classification of vestibular symptoms: Towards an international classification of vestibular disorders. J Vest Res. 2009
  • Lempert T. Vestibular migraine: Diagnostic criteria. J Vestib Res. 2012
  • Lopez-Escamez JA. Criterios diagnósticos de enfermedad de Menière. Documento de consenso de la Bárány Society, la Japan Society for Equilibrium Research, la European Academy of Otology and Neurotology (EAONO), Acta Otorrinolaringol Esp. 2015
  • Perez-Garrigues H. Time course of episodes of definitive vertigo in Menière’s disease. Arch Otolaryngol Head Neck Surg. 2008
  • Nabi S. Bilateral Ménière’s disease. Curr Opin Oto-laryngol Head Neck Surg. 2009.
  • Escamez JA. Impact of bilaterality and headache on health-related quality of life in Menière’s disease. Ann Otol Rhinol Laryngol. 2009
  • Belinchon A. Hearing assessment in Menière’s disease. 2011
  • Pérez-Garrigues H. Un nuevo enfoque para el tratamiento de los 3 síntomas de la enfermedad de Ménière: laberintectomía e implante coclear en un mismo acto quirúrgico. Acta Otorrinolaringol Esp. 2014
  • J. García-Purriños. Dexometasona vía combinada intratimpática-intravenosa para el control del vértigo en la enfermedad de Ménière Acta Otorrinolaringol Esp 2005
  • Proctor B, Proctor C. Metabolic management in Menière's disease. Ann Otol Rhinol Laryngol. 1981
  • Spencer JT Jr. Hyperlipoproteinemia, hyperinsulinism, and Meniere's disease. South Med J. 1981
  • Warninghoff JC. Co-morbidities of vertiginous diseases. BMC Neurol. 2009
  • Pieskä T. Concomitant diseases and their effect on disease prognosis in Meniere's disease: diabetes mellitus identified as a negative prognostic factor. Acta Otolaryngol. 2018